Application of New Neutrosophic Open Set via Neutrosophic Topological Spaces
Keywords:
Supplier selection, Neutrosophic scoring function, Neutrosophic β-open setsAbstract
We introduce a new class of open sets in neutrosophic topological spaces, called neutrosophic I
open (NI-open) sets, together with their dual NI-closed sets, defined via neutrosophic δ-interior and δ-closure
operators. We establish basic stability (arbitrary unions of NI-open sets and arbitrary intersections of NI-closed
sets), give characterizations in terms of the associated interior/closure operators, and prove a decomposition
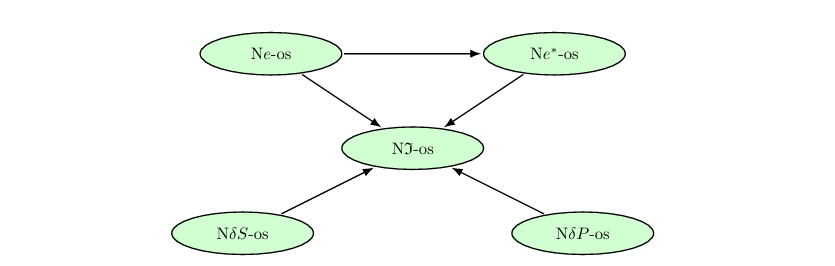
formula expressing every NI-open set as the union of its NδS-interior and Nδβ-interior. We further locate NI
openness within the existing landscape by showing that NδS-open, NδP-open, N-eopen, and Ne∗-open sets are,
in general, contained in NI-open sets, while the converses may fail; illustrative examples are provided. Finally,
we present a neutrosophic multi-criteria assessment for supplier selection that combines the neutrosophic score
with its negative counterpart to rank alternatives under ambiguity and indeterminacy, including a worked
example with per-strategy rankings and an assignment rule.
Downloads
Downloads
Published
Issue
Section
License
Copyright (c) 2026 Neutrosophic Sets and Systems

This work is licensed under a Creative Commons Attribution 4.0 International License.

